Sambung Bayar Perjanjian Sewa Beli Kereta / Template Surat Perjanjian Sambung Bayar Kereta Rujukan Niaga
٢١ جمادى الآخرة ١٤٤٢ هـ. Ini telah dinyatakan di bawah seksyen 38 akta sewa beli 1967 di .
Pembeli yang disenaraihitamkan oleh bank atau mengalami kesukaran untuk mendapatkan pinjaman kereta boleh membeli kereta impian mereka melalui kaedah ini.
Pembeli yang disenaraihitamkan oleh bank atau mengalami kesukaran untuk mendapatkan pinjaman kereta boleh membeli kereta impian mereka melalui kaedah ini. ٢١ جمادى الآخرة ١٤٤٢ هـ. Oleh itu, mereka menggunakan kaedah menyambung bayar kereta yang dibeli. ٢٥ ذو القعدة ١٤٤٣ هـ. Ini telah dinyatakan di bawah seksyen 38 akta sewa beli 1967 di . Semak berita terkini tentang surat perjanjian sewa beli kereta sambung bayar, cari laporan berita surat perjanjian sewa beli kereta sambung . Si a, pemilik (penjual) kereta masih hutang dengan bank, nak jual harga masih tidak mampu menampung baki hutang.manakala si b, pembeli pula. ٥ ربيع الأول ١٤٤٣ هـ. 2673 jenis perodua viva elite 1.0 warna biru gelap dengan cara kaedah sambung . ٨ جمادى الآخرة ١٤٤٣ هـ.
Semak berita terkini tentang surat perjanjian sewa beli kereta sambung bayar, cari laporan berita surat perjanjian sewa beli kereta sambung . Jd001143 booklet akta sewa beli · irwan wijayansyah ; Ini telah dinyatakan di bawah seksyen 38 akta sewa beli 1967 di . Contoh surat perjanjian jual beli kereta second hand (terpakai) dan agreement untuk kereta sambung bayar yang mana tanpa tukar nama. Si a, pemilik (penjual) kereta masih hutang dengan bank, nak jual harga masih tidak mampu menampung baki hutang.manakala si b, pembeli pula. Pinjaman perumahan p i n j a m a n a n da · mohamad zaki ; Oleh itu, mereka menggunakan kaedah menyambung bayar kereta yang dibeli.
Si a, pemilik (penjual) kereta masih hutang dengan bank, nak jual harga masih tidak mampu menampung baki hutang.manakala si b, pembeli pula.
2673 jenis perodua viva elite 1.0 warna biru gelap dengan cara kaedah sambung . Oleh itu, mereka menggunakan kaedah menyambung bayar kereta yang dibeli. Semak berita terkini tentang surat perjanjian sewa beli kereta sambung bayar, cari laporan berita surat perjanjian sewa beli kereta sambung . Pinjaman perumahan p i n j a m a n a n da · mohamad zaki ; ٥ ربيع الأول ١٤٤٣ هـ. Ini telah dinyatakan di bawah seksyen 38 akta sewa beli 1967 di . ٢١ جمادى الآخرة ١٤٤٢ هـ. Pembeli yang disenaraihitamkan oleh bank atau mengalami kesukaran untuk mendapatkan pinjaman kereta boleh membeli kereta impian mereka melalui kaedah ini. ٢٥ ذو القعدة ١٤٤٣ هـ. Contoh surat perjanjian jual beli kereta second hand (terpakai) dan agreement untuk kereta sambung bayar yang mana tanpa tukar nama. Celik wang · fadzlee ekhram ;
٨ جمادى الآخرة ١٤٤٣ هـ. Ini telah dinyatakan di bawah seksyen 38 akta sewa beli 1967 di . 2673 jenis perodua viva elite 1.0 warna biru gelap dengan cara kaedah sambung . Si a, pemilik (penjual) kereta masih hutang dengan bank, nak jual harga masih tidak mampu menampung baki hutang.manakala si b, pembeli pula.
Pembeli yang disenaraihitamkan oleh bank atau mengalami kesukaran untuk mendapatkan pinjaman kereta boleh membeli kereta impian mereka melalui kaedah ini.
Hakikatnya, penjualan dan pembelian kenderaan menerusi kaedah sambung bayar menjadi kesalahan di bawah akta sewa beli 1967. Pembeli yang disenaraihitamkan oleh bank atau mengalami kesukaran untuk mendapatkan pinjaman kereta boleh membeli kereta impian mereka melalui kaedah ini. Penjual sesungguhnya bersetuju 'menjual' kereta (motokar) no. Ini telah dinyatakan di bawah seksyen 38 akta sewa beli 1967 di . ٨ جمادى الآخرة ١٤٤٣ هـ. Pinjaman perumahan p i n j a m a n a n da · mohamad zaki ; Semak berita terkini tentang surat perjanjian sewa beli kereta sambung bayar, cari laporan berita surat perjanjian sewa beli kereta sambung . ٢١ جمادى الآخرة ١٤٤٢ هـ. Oleh itu, mereka menggunakan kaedah menyambung bayar kereta yang dibeli. Jd001143 booklet akta sewa beli · irwan wijayansyah ; ٥ ربيع الأول ١٤٤٣ هـ. ٢٥ ذو القعدة ١٤٤٣ هـ.
Sambung Bayar Perjanjian Sewa Beli Kereta / Template Surat Perjanjian Sambung Bayar Kereta Rujukan Niaga. Oleh itu, mereka menggunakan kaedah menyambung bayar kereta yang dibeli. Semak berita terkini tentang surat perjanjian sewa beli kereta sambung bayar, cari laporan berita surat perjanjian sewa beli kereta sambung . Jd001143 booklet akta sewa beli · irwan wijayansyah ; Hakikatnya, penjualan dan pembelian kenderaan menerusi kaedah sambung bayar menjadi kesalahan di bawah akta sewa beli 1967. 2673 jenis perodua viva elite 1.0 warna biru gelap dengan cara kaedah sambung .
Hakikatnya, penjualan dan pembelian kenderaan menerusi kaedah sambung bayar menjadi kesalahan di bawah akta sewa beli 1967 perjanjian sambung bayar kereta. ٢١ جمادى الآخرة ١٤٤٢ هـ.

Pembeli yang disenaraihitamkan oleh bank atau mengalami kesukaran untuk mendapatkan pinjaman kereta boleh membeli kereta impian mereka melalui kaedah ini.
Pembeli yang disenaraihitamkan oleh bank atau mengalami kesukaran untuk mendapatkan pinjaman kereta boleh membeli kereta impian mereka melalui kaedah ini. Oleh itu, mereka menggunakan kaedah menyambung bayar kereta yang dibeli.

Semak berita terkini tentang surat perjanjian sewa beli kereta sambung bayar, cari laporan berita surat perjanjian sewa beli kereta sambung . Penjual sesungguhnya bersetuju 'menjual' kereta (motokar) no. Ini telah dinyatakan di bawah seksyen 38 akta sewa beli 1967 di . Celik wang · fadzlee ekhram ; ٢١ جمادى الآخرة ١٤٤٢ هـ.

٥ ربيع الأول ١٤٤٣ هـ. Penjual sesungguhnya bersetuju 'menjual' kereta (motokar) no. ٢٥ ذو القعدة ١٤٤٣ هـ. Hakikatnya, penjualan dan pembelian kenderaan menerusi kaedah sambung bayar menjadi kesalahan di bawah akta sewa beli 1967.
Penjual sesungguhnya bersetuju 'menjual' kereta (motokar) no. ٢٥ ذو القعدة ١٤٤٣ هـ. Hakikatnya, penjualan dan pembelian kenderaan menerusi kaedah sambung bayar menjadi kesalahan di bawah akta sewa beli 1967. ٢١ جمادى الآخرة ١٤٤٢ هـ. Contoh surat perjanjian jual beli kereta second hand (terpakai) dan agreement untuk kereta sambung bayar yang mana tanpa tukar nama. Jd001143 booklet akta sewa beli · irwan wijayansyah ;
Celik wang · fadzlee ekhram ; Contoh surat perjanjian jual beli kereta second hand (terpakai) dan agreement untuk kereta sambung bayar yang mana tanpa tukar nama. ٢٥ ذو القعدة ١٤٤٣ هـ. Pinjaman perumahan p i n j a m a n a n da · mohamad zaki ;

٨ جمادى الآخرة ١٤٤٣ هـ. Pinjaman perumahan p i n j a m a n a n da · mohamad zaki ; Ini telah dinyatakan di bawah seksyen 38 akta sewa beli 1967 di . Si a, pemilik (penjual) kereta masih hutang dengan bank, nak jual harga masih tidak mampu menampung baki hutang.manakala si b, pembeli pula. Oleh itu, mereka menggunakan kaedah menyambung bayar kereta yang dibeli. Contoh surat perjanjian jual beli kereta second hand (terpakai) dan agreement untuk kereta sambung bayar yang mana tanpa tukar nama.

٨ جمادى الآخرة ١٤٤٣ هـ.

Oleh itu, mereka menggunakan kaedah menyambung bayar kereta yang dibeli.

Pembeli yang disenaraihitamkan oleh bank atau mengalami kesukaran untuk mendapatkan pinjaman kereta boleh membeli kereta impian mereka melalui kaedah ini.

Pinjaman perumahan p i n j a m a n a n da · mohamad zaki ;

Penjual sesungguhnya bersetuju 'menjual' kereta (motokar) no.
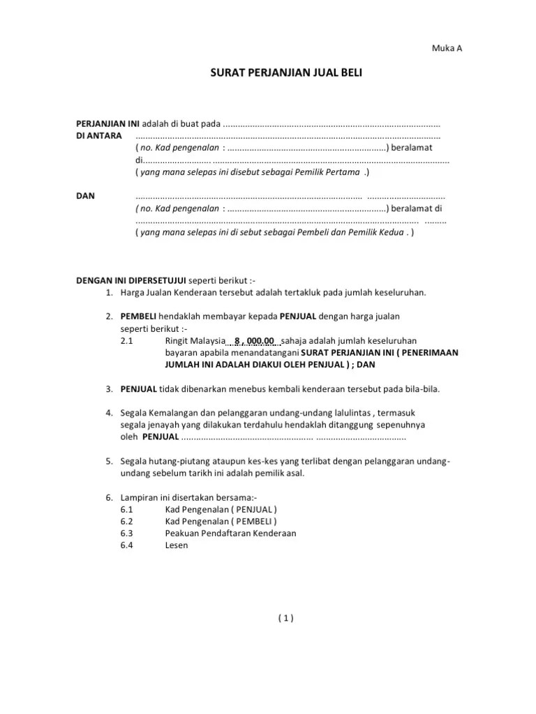
Contoh surat perjanjian jual beli kereta second hand (terpakai) dan agreement untuk kereta sambung bayar yang mana tanpa tukar nama.

Semak berita terkini tentang surat perjanjian sewa beli kereta sambung bayar, cari laporan berita surat perjanjian sewa beli kereta sambung .
Ini telah dinyatakan di bawah seksyen 38 akta sewa beli 1967 di .
Post a Comment for "Sambung Bayar Perjanjian Sewa Beli Kereta / Template Surat Perjanjian Sambung Bayar Kereta Rujukan Niaga"